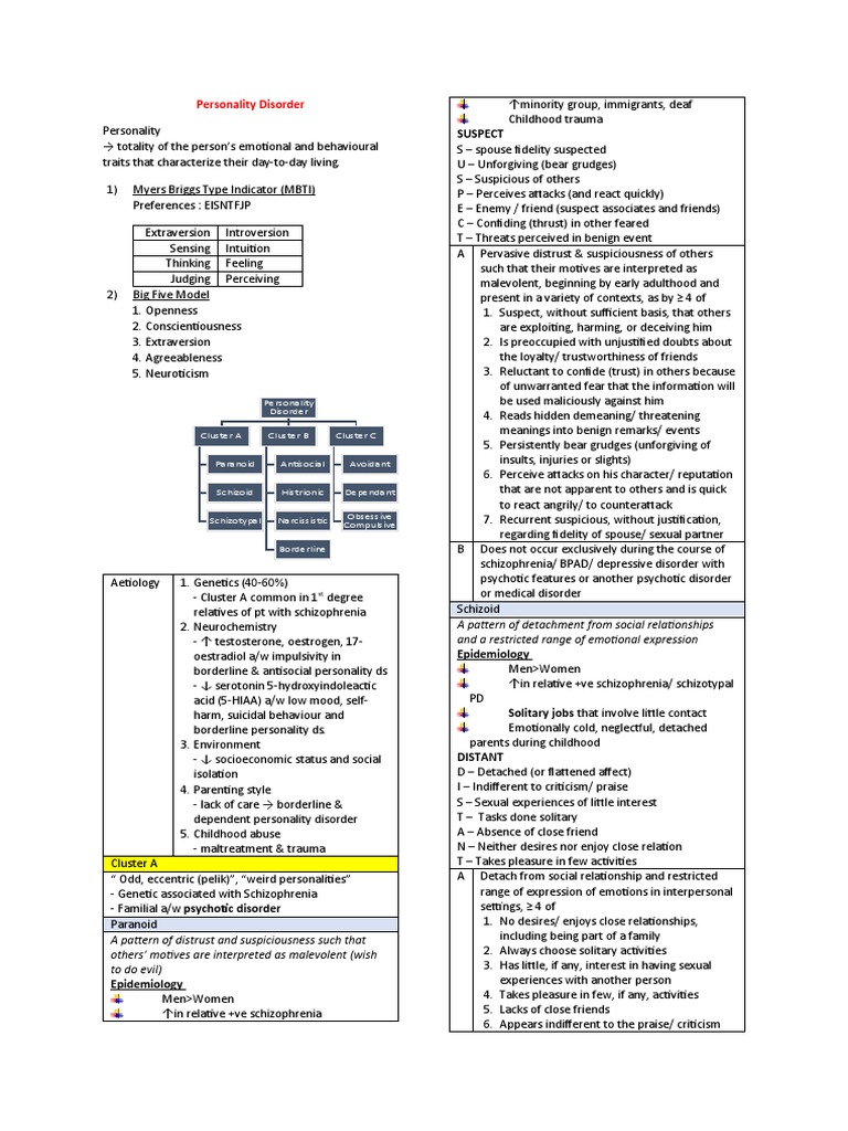
match each type of personality disorder with its corresponding cluster. personality disorder cluster a

If you are searching about Understanding Personality Disorders: A Guide to the Cluster A, B and C you've visit to the right web. We have 10 Pics about Understanding Personality Disorders: A Guide to the Cluster A, B and C like Personality Disorders: Understanding the Cluster A "Odd or Eccentric, [Solved]: Match the personality disorder to its cluster. Sch and also Personality disorder CLUSTER A | PPTX. Read more:

Understanding Personality Disorders: A Guide To The Cluster A, B And C

Understanding Personality Disorders: A Guide to the Cluster A, B and C www.scribd.com

Understanding Personality Disorders: A Guide to the Cluster A, B and C ...

Solved Match Each Type Of Personality Disorder With Its | Chegg.com

Solved Match each type of personality disorder with its | Chegg.com www.chegg.com

Solved Match each type of personality disorder with its | Chegg.com

Understanding Cluster A Personality Disorders And Traits

Understanding Cluster A Personality Disorders and Traits www.cadabams.org

Understanding Cluster A Personality Disorders and Traits

Personality Disorders: Understanding The Cluster A "Odd Or Eccentric

Personality Disorders: Understanding the Cluster A "Odd or Eccentric www.scribd.com

Personality Disorders: Understanding the Cluster A "Odd or Eccentric ...

Personality Disorder CLUSTER A | PPTX

Personality disorder CLUSTER A | PPTX www.slideshare.net

Personality disorder CLUSTER A | PPTX

Personality Disorder Cluster Chart 1 Diagram | Quizlet

Personality Disorder Cluster Chart 1 Diagram | Quizlet quizlet.com

Personality Disorder Cluster Chart 1 Diagram | Quizlet

Personality Disorder CLUSTER A | PPTX

Personality disorder CLUSTER A | PPTX www.slideshare.net

Personality disorder CLUSTER A | PPTX

[Solved]: Match The Personality Disorder To Its Cluster. Sch

[Solved]: Match the personality disorder to its cluster. Sch www.solutionspile.com

[Solved]: Match the personality disorder to its cluster. Sch

Personality Disorder CLUSTER A | PPTX

Personality disorder CLUSTER A | PPTX www.slideshare.net

Personality disorder CLUSTER A | PPTX

Personality Disorder Traits By Cluster Diagram | Quizlet

personality disorder traits by cluster Diagram | Quizlet quizlet.com

personality disorder traits by cluster Diagram | Quizlet

Personality disorder cluster a. Personality disorder traits by cluster diagram. personality disorder traits by cluster diagram